HTTP 1일 차로 인터넷 네트워크에 대해서 공부한다.
- 인터넷 통신
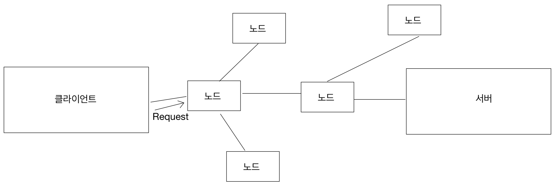
만약 컴퓨터 두 대가 직접적으로 연결이 되어 있다면

이렇게 직접 통신을 하면 될 것이다.
하지만 수많을 컴퓨터들이 있는 인터넷 내에서는 어떻게 통신을 할까?

이렇게 수많은 노드들을 거친 후에 서버에 도착해야 할 것이다.
과연 어떤 방법으로 서버를 찾아가게 될까?
- IP

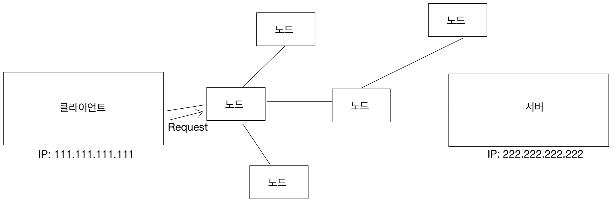
그 방법으로는 컴퓨터마다 고유의 번호를 부여하고 그 번호로 찾아가게 하는 것이다.
고유의 번호를 IP 주소라고 한다.
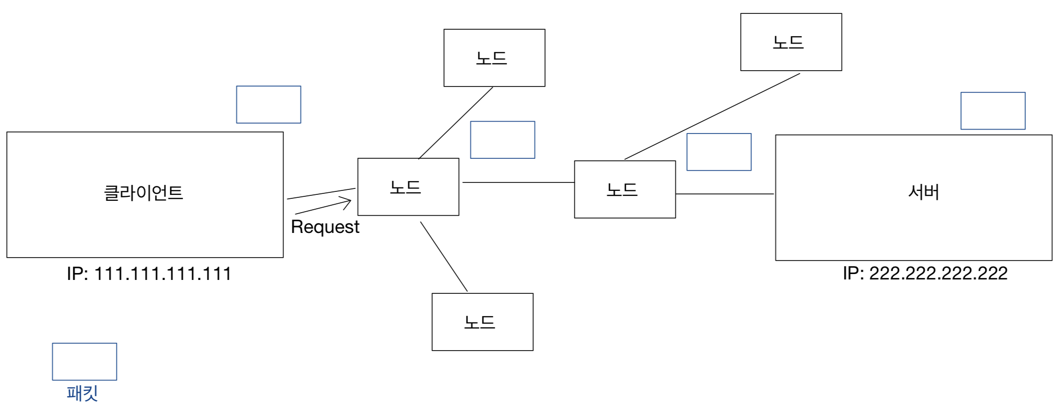
지정한 IP 주소에 패킷이라는 통신 단위로 데이터를 저장하게 된다.

이렇게 전송 데이터에 IP 관련된 정보를 넣어서 감싼 단위를 패킷이라고 한다.
패킷 안에는 IP 정보가 들어가 있기 때문에 해당 정보를 이용하여 목적지까지 패킷을 운반한다.

하지만 이 IP 프로토콜에도 한계가 있다.
- 비연결성
만약 패킷을 받을 대상이 없거나 서비스 불가 상태여도 데이터를 전송한다.
- 비신뢰성
데이터가 중간에 소실될 수 있고, 패킷이 순서대로 오지 않을 수도 있다.
- 프로그램 구분
같은 IP를 사용하는 서버에서 통신하는 애플리케이션이 둘 이상이면 어느 애플리케이션으로 가야 하는지 알 수 없다.
- TCP, UDP
해당 방법을 TCP에서 해결할 수 있다.
프로토콜 계층을 살펴보면
인터넷 프로토콜 스택의 4계층이다.
| 애플리케이션 계층 - HTTP, FTP |
| 전송 계층- TCP, UDP |
| 인터넷 계층 - IP |
| 네트워크 인터페이스 계층 |
- 이거를 사용하는 단계까지 같이 표현을 해보자면

이렇게 나타내진다.
데이터를 전송할 때에는 이 모든 과정을 거쳐 전송하게 된다.

IP 패킷으로 포장하기 전에 TCP 하나를 추가하게 되는 것인데

TCP는 이전에 IP 프로토콜에서 생겼던 문제들을 해결할 수 있다.
TCP 특징
- 연결지향(TCP 3 way handshake, 가상연결)

데이터를 전송하기 전에 서버에 접속 요청을 보낸 후, 서버에서 요청 수락을 하고 서버에서 클라이언트로 접속 요청을 보내면 그것에 응답하여 서로 연결이 된 것을 확인한 후 데이터를 전송하는 방법이다.
클라이언트와 서버 간에는 연결이 된 것을 확인할 수 있지만, 그 중간의 노드들은 접속이 된 것을 알지 못하기 때문에 가상 연결이라고도 한다.
- 데이터 전달 보증

데이터를 수신하면 데이터를 수신한 곳에서 송신한 곳으로 수신이 완료되었음을 알리는 신호를 보낸다.
이렇게 하면 데이터가 전달되었다는 것을 보증할 수 있다.
- 순서 보장

순서가 맞지 않는다면, 맞지 않는 곳에서부터 재전송을 요청하여 순서대로 도착함을 보장한다.
이렇게 TCP에 대해 알아보았다.
UDP는 이와 정반대의 특징을 가지는데
연결지향, 데이터 전달 보증, 순서 보장의 특징을 가지지 않아 IP와 거의 비슷하지만 속도가 훨씬 빠르다.
- PORT

이렇게 한 번에 둘 이상 연결할 경우가 있다.
이럴 때에는 어떤 데이터가 어디에 쓰이는지 어떻게 구별할 수 있을까?
이럴 때에는 위에 같이 포장되어 있는 PORT의 정보를 이용한다.

이렇게 포트 번호를 보고 어디에서 온 데이터인지 구별하여 사용한다.
- DNS
IP는 숫자로만 구성되어 있어 기억하기 어렵다.
우리가 웹 사이트에 접속할 때마다 저 번호를 기억해서 치고 들어가면 상당히 힘들 것이다.
그렇기 때문에 우리는 DNS(Domain Name System)을 사용한다.
도메인 명을 IP 주소로 변환해 주는 방법이다.
우리가 google에 접속하려고 하면 구글의 google.com을 치고 접속한다.
그러면 도메인 서버에서 해당 도메인명에 일치하는 IP주소를 찾아 접속을 해준다.
그러면 우리는 IP 주소를 몰라도 google에 접속할 수 있게 되는 것이다.